Ministria e Punëve të Jashtme dhe Diasporës (MPJD) ka blerë 500 kopje të librit “Maskrat në Kosovë 1998-1999” i autorit Shkëlzen Gashi, drejtor i organizatës joqeveritare “Admovere”, njëherësh edhe ish-këshilltar i Albin Kurtit.
Kopjet e librave të kërkuara nga Ministria e Jashtme janë të përkthyera në gjuhën angleze.
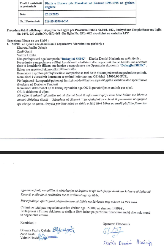
Ato janë blerë nga shtëpia botuese “Dukagjini” përmes një tenderi të negociuar pa publikim të njoftimit të kontratës të MPJD’së.
Tenderi ka kushtuar përreth 15 mijë euro.
Gjatë negociatave mes anëtarëve të komisionit vlerësues dhe përfaqësuesit të shtëpisë botuese “Dukagjini”, palët arritën marrëveshje për zbritjen e çmimit për 1 euro – nga 15,000.00 në 14,999.00 euro.
Një zbritje më e madhe e çmimit është konsideruar e pamundur nga “Dukagjini”, e cila ka pohuar se shitja e librit bëhet pa asnjë përfitim financiar për kompaninë.
Përfaqësuesja e kompanisë, Klarita Demiri ka thënë se fitimet nga shitja e librit do të shkojnë në mbështetje të krijimit të një platforme dedikuar krimeve të luftës në Kosovë.
“Arsyeja për këtë është se shitja e këtij libri bëhet pa asnjë përfitim financiar nga ana e jonë, me qëllim të mbështetjes së krijimit të një web-faqeje dedikuar krimeve të luftes në Kosovë, e cila do të realizohet me të ardhurat nga ky libër”, citohet të ketë thënë përfaqësuesja e shtëpisë botuese “Dukagjini” në procesverbalin e negociatave.

“Për rrjedhojë, oferta jonë përfundimtare në lidhje me kërkesën tuaj mbetet 14.999 euro. Çmimi ne total pas negociatave eshte zbritur nga 15000€ ne shumen 14999€”.
Sipas Dosjes së Tenderit për “blerjen e librave për masakrat në Kosovë 1998-1999 në gjuhën angleze”, MPJD ka caktuar si kriter “një numër të masakrave të dokumentuara nga forcat serbe kundër civilëve, kryesisht shqiptarë, në vitet 1998-1999”.
Ky libër është përcjellë me kritika nga historiani Durim Abdullahu, i cili ka identifikuar anomalitë e librit për masakrat e kryera në Kosovë















